中華人民共和國商務部(以下簡稱商務部)于2024年4月2日收到江蘇揚農化工股份有限公司(以下稱申請人)代表中國氯氰菊酯產業正式提交的反傾銷調查申請,申請人請求對原產于印度的進口氯氰菊酯進行反傾銷調查。商務部依據《中華人民共和國反傾銷條例》有關規定,對申請人的資格、申請調查產品的有關情況、中國同類產品的有關情況、申請調查產品對中國產業的影響、申請調查國家的有關情況等進行了審查。
根據申請人提供的證據和商務部的初步審查,申請人氯氰菊酯產量在2019年、2020年、2021年、2022年和2023年占同期中國同類產品總產量的50%以上,符合《中華人民共和國反傾銷條例》第十一條和第十三條有關中國產業提出反傾銷調查申請的規定。同時,申請書中包含了《中華人民共和國反傾銷條例》第十四條、第十五條規定的反傾銷調查立案所要求的內容及有關證據。
根據上述審查結果,依據《中華人民共和國反傾銷條例》第十六條的規定,商務部決定自2024年5月7日起對原產于印度的進口氯氰菊酯進行反傾銷立案調查。現將有關事項公告如下:
一、立案調查及調查期
自本公告發布之日起,商務部對原產于印度的進口氯氰菊酯進行反傾銷立案調查,本次調查確定的傾銷調查期為2023年1月1日至2023年12月31日,產業損害調查期為2019年1月1日至2023年12月31日。
二、被調查產品及調查范圍
調查范圍:原產于印度的進口氯氰菊酯
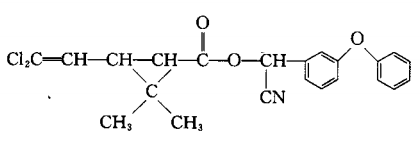
被調查產品名稱:氯氰菊酯
英文名稱:Cypermethrin,也稱Cypermethrin technical,Cipermethrin
分子式:C22H19CL2NO3
化學結構式:

物理化學特性:氯氰菊酯是重要的擬除蟲菊酯類殺蟲劑,外觀通常呈黃色至棕色粘稠液體或有結晶的半固體,具有觸殺和胃毒作用,殺蟲譜廣。
主要用途:氯氰菊酯主要用于生產高效氯氰菊酯、殺蟲劑制劑等,廣泛應用在農業、衛生等領域,用于棉花、果樹、蔬菜、煙草、玉米、花卉等害蟲防治。
該產品歸在《中華人民共和國進出口稅則(2023)》:29269090。該稅則號項下的其他產品不在本次調查范圍之內。
三、登記參加調查
利害關系方應于本公告發布之日起20天內,向商務部貿易救濟調查局登記參加本次反傾銷調查。參加調查的利害關系方應根據《登記參加調查的參考格式》提供基本身份信息、向中國出口或進口本案被調查產品的數量及金額、生產和銷售同類產品的數量及金額以及關聯情況等說明材料。《登記參加調查的參考格式》可在商務部網站貿易救濟調查局子網站下載。
利害關系方登記參加本次反傾銷調查,應通過“貿易救濟調查信息化平臺”(https://etrb.mofcom.gov.cn)提交電子版本,并根據商務部的要求,同時提交書面版本。電子版本和書面版本內容應相同,格式應保持一致。
本公告所稱的利害關系方是指《中華人民共和國反傾銷條例》第十九條規定的個人和組織。
四、查閱公開信息
利害關系方可在商務部網站貿易救濟調查局子網站下載或到商務部貿易救濟公開信息查閱室(電話:0086-10-65197878)查找、閱覽、抄錄并復印本案申請人提交的申請書的非保密文本。調查過程中,利害關系方可通過相關網站查詢案件公開信息,或到商務部貿易救濟公開信息查閱室查找、閱覽、抄錄并復印案件公開信息。
五、對立案的評論
利害關系方對本次調查的產品范圍及申請人資格、被調查國家及其他相關問題如需發表評論,可于本公告發布之日起20天內將書面意見提交至商務部貿易救濟調查局。
六、調查方式
根據《中華人民共和國反傾銷條例》第二十條的規定,商務部可以采用問卷、抽樣、聽證會、現場核查等方式向有關利害關系方了解情況,進行調查。
為獲得本案調查所需要的信息,商務部通常在本公告規定的登記參加調查截止之日起10個工作日內向利害關系方發布調查問卷。利害關系方可以從商務部網站貿易救濟調查局子網站下載調查問卷。
《氯氰菊酯反傾銷案國外出口商或生產商調查問卷》詢問信息包括公司的結構和運作、被調查產品、對中國的出口銷售、國內銷售、經營和財務等相關信息、生產成本和相關費用、估算的傾銷幅度及核對單等內容。《氯氰菊酯反傾銷案國內生產者調查問卷》詢問信息包括公司基本情況、同類產品情況、經營和相關信息、財務和相關信息、其他需要說明的問題等內容。《氯氰菊酯反傾銷案國內進口商調查問卷》詢問信息包括公司基本情況、被調查產品貿易和相關信息等內容。
利害關系方應在規定時間內提交完整、準確的答卷。答卷應當包括調查問卷所要求的全部信息。
七、信息的提交和處理
利害關系方在調查過程中提交評論意見、答卷等,應通過“貿易救濟調查信息化平臺”(https://etrb.mofcom.gov.cn)提交電子版本,并根據商務部的要求,同時提交書面版本。電子版本和書面版本內容應相同,格式應保持一致。
利害關系方向商務部提交的信息如需保密的,可向商務部提出對相關信息進行保密處理的請求并說明理由。如商務部同意其請求,申請保密的利害關系方應當同時提供該保密信息的非保密概要。非保密概要應當包含充分的有意義的信息,以使其他利害關系方對保密信息能有合理的理解。如不能提供非保密概要,應說明理由。如利害關系方提交的信息未說明需要保密的,商務部將視該信息為公開信息。
八、不合作的后果
根據《中華人民共和國反傾銷條例》第二十一條的規定,商務部進行調查時,利害關系方應當如實反映情況,提供有關資料。利害關系方不如實反映情況、提供有關資料的,或者沒有在合理時間內提供必要信息的,或者以其他方式嚴重妨礙調查的,商務部可以根據已經獲得的事實和可獲得的最佳信息作出裁定。
九、調查期限
本次調查自2024年5月7日起開始,通常應在2025年5月7日前結束調查,特殊情況下可延長6個月。
十、商務部聯系方式
地址:北京市東長安街2號
郵編:100731
商務部貿易救濟調查局
電話:0086-10-65198757 65198435
傳真:0086-10-65198172
相關網站: 商務部網站貿易救濟調查局子網站(trb.mofcom.gov.cn)
中華人民共和國國家發展和改革委員會 中華人民共和國工業和信息化部 中華人民共和國應急管理部 中華人民共和國生態環境部 中華人民共和國科學技術部 中華人民共和國財政部 中華人民共和國商務部 中國石油和化學工業聯合會
江蘇省發展和改革委員會 江蘇省工業和信息化廳 江蘇省財政廳 江蘇省生態環境廳 江蘇省科學技術廳 江蘇省商務廳 江蘇省應急管理廳 江蘇省市場監督管理局 江蘇省統計局
北京市化學工業協會 天津市石油和化工協會 遼寧省石油和化學工業協會 內蒙古石油和化學工業協會 重慶市石油與天然氣學會 河北省石油和化學工業協會 山西省化學工業協會 吉林省能源協會 黑龍江省石化行業協會 浙江省石油和化學工業行業協會 安徽省石油和化學工業協會 福建省石油和化學工業協會 江西省石油和化學工業協會 河南省石油和化學工業協會 湖北省石化行業協會 湖南省石油化學工業協會 廣東省石油和化學工業協會 海南省石油和化學工業行業協會 四川省化工行業協會 貴州省化學工業協會 云南省化工行業協會 陜西省經濟聯合會 甘肅省石化工業協會 青海省化工協會
電話:協會:025-8799064 學會:025-86799482
會員服務部:025-86918841
信息部:025-86910067
傳真:025-83755381
郵箱:jshghyxh@163.com
郵編:210019
地址:南京市夢都大街50號東樓(省科技工作者活動中心)5樓
增值電信業務經營許可證:蘇B2-20110130
備案號:蘇ICP備13033418號-1 “堅決打贏禁毒人民戰爭”專欄—法律法規