【發布單位】貿易救濟局
【發布文號】商務部公告2025年第2號
【發文日期】2025年01月07日
根據《中華人民共和國反傾銷條例》(以下稱《反傾銷條例》)的規定,2024年5月7日,商務部(以下稱調查機關)發布2024年第17號公告,決定對原產于印度的進口氯氰菊酯(以下稱被調查產品)進行反傾銷立案調查。
調查機關對被調查產品是否存在傾銷和傾銷幅度、被調查產品是否對國內產業造成損害及損害程度以及傾銷與損害之間的因果關系進行了調查。根據調查結果和《反傾銷條例》第二十四條的規定,調查機關作出初步裁定(見附件1)。現將有關事項公告如下:
一、初步裁定
調查機關初步認定,原產于印度的進口氯氰菊酯存在傾銷,國內氯氰菊酯產業受到實質損害,而且傾銷與實質損害之間存在因果關系。
二、征收保證金
根據《反傾銷條例》第二十八條和第二十九條的規定,調查機關決定采用保證金形式實施臨時反傾銷措施。自2025年1月8日起,進口經營者在進口被調查產品時,應依據本初裁決定所確定的各公司的保證金比率向中華人民共和國海關提供相應的保證金。
調查范圍:原產于印度的進口氯氰菊酯。
被調查產品名稱:氯氰菊酯。
英文名稱:Cypermethrin,也稱Cypermethrin technical,Cipermethrin。
分子式:C22H19Cl2NO3
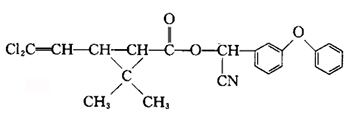
化學結構式:

物理化學特性:氯氰菊酯是重要的擬除蟲菊酯類殺蟲劑,外觀通常呈黃色至棕色粘稠液體或有結晶的半固體,具有觸殺和胃毒作用,殺蟲譜廣,有效成分CAS號為52315—07—8、67375—30—8和1315501—18—8。
主要用途:氯氰菊酯主要用于生產高效氯氰菊酯、殺蟲劑制劑等,廣泛應用在農業、衛生等領域,用于棉花、果樹、蔬菜、煙草、玉米、花卉等害蟲防治。
該產品歸在《中華人民共和國進出口稅則》:29269090。該稅則號項下的其他產品不在本次調查范圍之內。
對各公司征收的保證金比率在本公告附件2中列明。
三、征收保證金的方法
自2025年1月8日起,進口經營者在進口原產于印度的氯氰菊酯時,應依據本初裁決定所確定的各公司的保證金比率向中華人民共和國海關提供相應的保證金。保證金以海關審定的完稅價格從價計征,計算公式為:保證金金額=(海關審定的完稅價格×保證金征收比率)×(1+進口環節增值稅稅率)。
四、評論
各利害關系方在本公告發布之日起10天內,可向調查機關提交書面評論意見。
商務部
2025年1月7日
附件:
中華人民共和國國家發展和改革委員會 中華人民共和國工業和信息化部 中華人民共和國應急管理部 中華人民共和國生態環境部 中華人民共和國科學技術部 中華人民共和國財政部 中華人民共和國商務部 中國石油和化學工業聯合會
江蘇省發展和改革委員會 江蘇省工業和信息化廳 江蘇省財政廳 江蘇省生態環境廳 江蘇省科學技術廳 江蘇省商務廳 江蘇省應急管理廳 江蘇省市場監督管理局 江蘇省統計局
北京市化學工業協會 天津市石油和化工協會 遼寧省石油和化學工業協會 內蒙古石油和化學工業協會 重慶市石油與天然氣學會 河北省石油和化學工業協會 山西省化學工業協會 吉林省能源協會 黑龍江省石化行業協會 浙江省石油和化學工業行業協會 安徽省石油和化學工業協會 福建省石油和化學工業協會 江西省石油和化學工業協會 河南省石油和化學工業協會 湖北省石化行業協會 湖南省石油化學工業協會 廣東省石油和化學工業協會 海南省石油和化學工業行業協會 四川省化工行業協會 貴州省化學工業協會 云南省化工行業協會 陜西省經濟聯合會 甘肅省石化工業協會 青海省化工協會
電話:協會:025-8799064 學會:025-86799482
會員服務部:025-86918841
信息部:025-86910067
傳真:025-83755381
郵箱:jshghyxh@163.com
郵編:210019
地址:南京市夢都大街50號東樓(省科技工作者活動中心)5樓
增值電信業務經營許可證:蘇B2-20110130